2026年全國研究生招生考試《數學二》真題及答案解析(完整版)

2026年全國研究生招生考試數學二落下帷幕研究生。本文將對其難度進行分析,同時提供2026年全國研究生招生考試《數學二》真題及答案解析(完整版),幫助大家提前應對接下來的複試調劑。

一、數學二分析

2026年數學二的整體難度較前幾年顯著下降,被譽為近年來,甚至是近十年來最簡單的一次,儘管被普遍認為簡單,但這張試卷絕非對知識的膚淺考察研究生。它的“易”主要體現在避開了偏題、怪題和過於複雜的技巧性證明,轉而強調對核心概念、基礎計算和典型模型的掌握。

然而,“常規”不等於“平庸”研究生。試卷在兩方面展現了命題組的匠心:一是對概念本質的深化考查,二是對真題復現與“冷門”考點的挖掘。

例如,選擇題第5題,雖然形式上考查函式的單調性與凹凸性,但需要考生深入理解其定義,而非機械套用判別法研究生。第16題對二次型概念的考查,最終落點於對矩陣秩的深刻理解,若方法不對則難以求解。這些題目成功地區分了對知識點“知其然”與“知其所以然”的考生。

二、數學二試題及答案解析

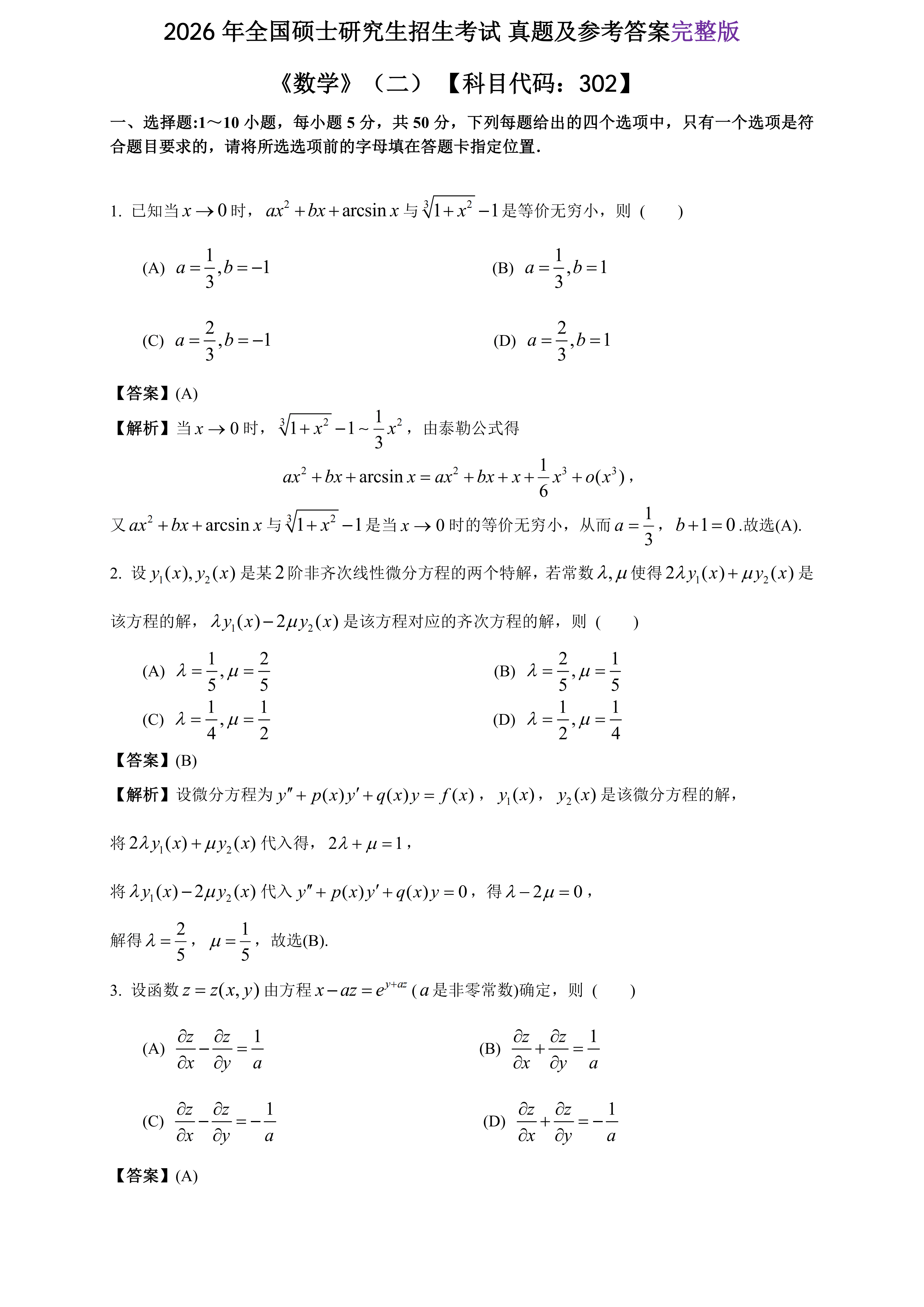
(注:由於篇幅所限研究生,僅展示部分圖片,PDF完整版可檢視:

2026年全國研究生招生考試《數學二》真題及答案解析(完整版) 2026年全國研究生招生考試《數學二》真題及答案解析(完整版) 2026年全國研究生招生考試《數學二》真題及答案解析(完整版)

展開全文

2026年全國研究生招生考試《數學二》真題及答案解析(完整版)
本站內容來自使用者投稿,如果侵犯了您的權利,請與我們聯絡刪除。聯絡郵箱:[email protected]

本文連結://yxd-1688.com/tags-%E7%A7%98%E5%A2%83.html

🌐 /